Research
Our research group is interested in developing novel reactions, and applying known reactions in a novel manner to reduce the complexity inherent in natural product synthesis. In particular, we have projects focused on:
-
On-Water
Catalysis -
NHC
Catalysis -
Nucleophilic
Catalysis -
Completed
Targets -
Publication
List
On-Water chemistry: Certain reactions between organic compounds are faster when performed as a dispersion in water than when they are performed in traditional organic solvents or even neat! This unusual mode of reactivity is termed "on-water" catalysis. Our group has several projects in this area.
Mechanistic studies: (in collaboration with A/Prof. J. K. Beattie)

We have undertaken investigations to elucidate the mechanism behind the rate enhancements observed for on-water catalysis. Our proposed mechanism is the only one that accounts for all of the observations made about on-water chemistry including the kinetic isotope effect.


Reaction development:
We have used our understanding of the mechanism behind on-water catalysis to develop environmentally benign protocols. For instance, the aromatic aza-Claisen rearrangement proceeds at slightly elevated temperatures on-water. The autocatalytic nature of the process provides compelling support for our mechanistic hypothesis.
The conjugate addition of anilines to unsaturated ester equivalents is traditionally a troublesome process, but this reaction proceeds smoothly at ambient temperature when conducted on-water.
Synthesis:
We have used our understanding of on-water chemistry to develop a water-tolerant route to benzothiazepinones.

The ‘umpolung’ addition of aldehydes onto unsaturated carbonyl compounds is an under-utilised method for carbon-carbon bond construction. We are investigating variants of this reaction that allow for the rapid construction of fused-ring systems from simple starting materials. We are also exploring the ability of the Stetter reaction to install new stereocentres under substrate control.
Stetter reactions with 1,6-acceptors: by using 'extended' Michael acceptors in the Stetter reaction, products with increased synthetic potential can easily be generated.

The reaction can be conducted in an asymmetric fashion.

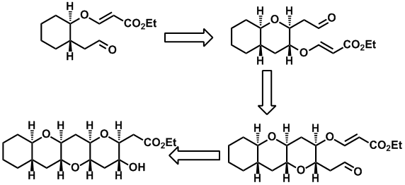
Fused cyclic ether synthesis: The classical Stetter reaction can be used to generated the trans , syn, trans stereochemical arrangement seen in naturally occurring polycyclic ethers.


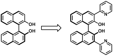
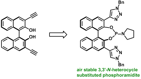
3,3'-N-heterocycle substituted Binol motifs:
We have uncovered a one-pot procedure to give rapid access to 3,3'-dipyridyl Binol scaffolds.
We have explored the synthesis of 3,3'-dipyridyl-Binol-phosphoramidites.

We reported the first synthesis of an air stable 3,3'-N-heterocycle containing Binol-phosphoramidite.

Application in nucleophilic bromination reactions: The heightened nucleophilicity of these new phosphoramidites allows us to use them to catalyse bromonium transfer reactions.

Completed targets: We have utilized on-water, NHC, or nucleophilic catalysis to synthesize some biologically relevant and structurally intriguing molecules.


Synthesis of highly enantio-enriched stereoisomers of hydroxy-GR24. Joanne C. Morris and Christopher S. P. McErlean, Org. Biomol. Chem. (2016) 14, 1236–1238.
Expression of MAX2 under SCARECROW Promoter enhances the Strigolactone/MAX2 Dependent Response of Arabidopsis roots to Low-Phosphate Conditions. Ortal Madmon; Moram Mazuz; Puja Kumari; Anandamoy Dam; Aurel Ion; Einav Mayzlish-Gati; Eduard Belausov; Smadar Weininger; Mohamad Abu-Abied; Christopher McElrean; Liam Bromhead; Rafael Perl-Treves; Cristina Prandi; Yoram Kapulnik; Hinanit Koltai. Planta (2016) online 26/02/2016. DOI 10.1007/s00425-016-2477-7.
-
Chemistry of the synthetic strigolactone mimic GR24. Liam J. Bromhead, Jason Smith, and Christopher S. P. McErlean, Aus. J. Chem., (2015) 68, 1221-1227.[Invited article for Athel Beckwith Lectureship]
Synthesis of carbazoloquinone natural products ‘on-water’. Philip Norcott, Christopher S. P. McErlean. Org. Biomol. Chem., (2015) 13 , 6866-6878.
The response of Arabidopsis to low phosphate conditions that involves active changes in actin filaments and PIN2 polarization is dependent on strigolactone signaling. Manoj Kumar1, Nirali Pandya-Kumar1, Anandamoy Dam, Einav Mayzlish-Gati, Eduard Belausov, Smadar Wininger, Mohamad Abu-Abied, Liam J. Bromhead, Christopher S. P. McErlean, Cristina Prandi, Yoram Kapulnik and Hinanit Kolta. J. Exp. Bot., (2015) 66 , 1499-1510.
Accessing brominated natural product motifs using phosphoramidite-catalysis. Carl Recsei and Christopher S. P. McErlean, Aus. J. Chem., (2015) 68 555–565. [Invited article for Cornforth Memorial Issue]
Total Synthesis of (−)-Heliespirone A and (+)-Heliespirone C. Philip Norcott, Christopher S. P. McErlean Eur. J. Org. Chem., (2014), 5056–5062.
Avenaol, a germination stimulant for root parasitic plants from Avena strigos. Kim, H.I., Kisugi, T., Khetkam, P., Xie, X., Yoneyama, K., Uchida, K., Yokota, T., Nomura, T., McErlean, C.S.P., Yoneyama, K., Phytochemistry, (2014) 103, 85–88.
Synthesis of (+)-Luzofuran and (−)-Ancistrofuran. Carl Recsei, Bun Chan, and Christopher S. P. McErlean, J. Org. Chem., (2014) 79, 880–887.
Enantioselective synthesis of the strigolactone mimic (+)-GR24. Bromhead, Liam; Visser, Johan; McErlean, Christopher S. P., J. Org. Chem., (2014) 79, 1516–1520.
Dynamic imaging of the hepatitis C virus NS5A protein during a productive infection. Nicholas S. Eyre, Guillaume N. Fiches, Amanda L. Aloia, Karla J. Helbig, Erin M. McCartney, Christopher S. P. McErlean, Kui Li, Anupriya Aggarwal, Stuart G. Turville, and Michael R. Beard, . J. Virol., (2014) 88, 3636-3652.
Extending the Stetter Reaction with 1,6-Acceptors. Katherine R. Law, Christopher S. P. McErlean, Chem.-Eur. J. (2013) 19, 15852-15855.
Ionic liquids are compatible with on-water catalysis. Kaitlin D. Beare, Alexander K. L. Yuen, Anthony F. Masters, Thomas Maschmeyer and Christopher S. P. McErlean, Chem. Commun., (2013) 49, 8347-8349
A practical synthesis of (1S,4S)-2,5-diazabicyclo[2.2.1]heptane. Corinne Beinat, Samuel D. Banister, Christopher S. P. McErlean and Michael Kassiou, Tetrahedron Lett., (2013) 54, 5345-5347.
-
Revitalizing the aromatic aza-Claisen rearrangement: Implications for the mechanism of ‘on-water’ catalysis. Kaitlin D. Beare, Christopher S. P. McErlean, Org. Biomol. Chem., (2013) 11, 2452–2459.
-
Accessing Columbianetin-Containing Natural Products via a Domino On-water, In-Water Process. Kaitlin D. Beare, Christopher S. P. McErlean, Tetrahedron Lett., (2013) 54, 1056–1058.
-
An in-water, on-water domino process for synthesis. Philip Norcott, Calan Spielman and Christopher S. P. McErlean Green Chem., (2012) 14, 605–609.
-
N-Acylpyrroles: More than amides. Anna M. Goldys, Christopher S. P. McErlean, Eur. J. Org. Chem.(2012) 1877–1888.
-
Synthesis of modified binol-phosphoramidites. Carl Recsei, Christopher S. P. McErlean, Tetrahedron (2012) 68, 464–480.
-
A Macrolactonization Approach to the Total Synthesis of LI-F04a and Diastereoisomeric Compounds. James R. Cochrane, Dong Hee Yoon, Christopher S. P. McErlean, Katrina A. Jolliffe. Beilstein J. Org. Chem. (2012) 8, 1344–1351.
-
Stetter Reactions of Unsaturated 1-Acyl-1H-pyrroles. Christopher B. W. Phippen, Anna M. Goldys, Christopher S. P. McErlean, Eur. J. Org. Chem. (2011) 6957–6964.
-
A 1,5-benzothiazepine synthesis. Christopher B. W. Phippen, Christopher S. P. McErlean,Tetrahedron Lett. (2011) 52, 1490–1492.
-
Total synthesis of C19 lipid diols containing a 2,5-disubstituted-3-oxygenated tetrahydrofuran. Caroline L Nesbitt, Christopher S. P. McErlean, Org. Biomol. Chem. (2011) 9, 2198–2208.
-
“On-Water” Conjugate Additions of Anilines. Christopher B. W. Phippen,James K. Beattie, and Christopher S. P. McErlean, Chem. Commun. (2010) 46, 8234–8236.
-
NR2B Selective Antagonists: Insights into Structure Activity Relationships and Therapeutic Applications. Corinne Beinat, Samuel Banister, Iman Moussa, Aaron J. Reynolds, Christopher S. P. McErlean, Michael Kassiou, Curr. Med. Chem. (2010) 17, 4166–4190.
-
Total Synthesis and Assignment of the Sidechain Stereochemistry of LI-F04a: An Antimicrobial Cyclic Depsipeptide. Cochrane, James R.; McErlean, Christopher S. P.; Jolliffe, Katrina A., Org. Lett. (2010)12, 3394–3397.
-
The mechanism of on-water catalysis. Beattie, James K.; McErlean, Christopher S. P.; Phippen, Christopher B. W., Chem.Eur. J. (2010) 16, 8972–8974.
-
Toward the synthesis of N-heterocycle containing BINOL-phosphoramidites. Recsei, Carl; McErlean, Christopher S. P., Tetrahedron: Asymmetry (2010) 21, 149–152.
-
An expedient synthesis of 2,5-disubstituted-3-oxygenated tetrahydrofurans. Nesbitt, Caroline L.; McErlean, Christopher S. P., Tetrahedron Lett. (2009) 50, 6318–6320.
-
An efficient synthesis of 3,3΄-dipyridyl BINOL ligands. Goldys, Anna; McErlean, Christopher S. P.,Tetrahedron Lett. (2009) 50, 3985–3987.
-
Application of an intramolecular Stetter reaction to access trans, syn, trans-fused pyrans. McErlean, Christopher S. P.; Willis, Anthony C., Synlett (2009) 233-236.
-
First synthesis of N-(3-carboxylpropyl)-5-amino-2-hydroxy-3-tridecyl-1,4-benzoquinone, an unusual quinone isolated from Embelia ribes. McErlean, Christopher S. P.; Moody, Christopher J., J. Org. Chem. (2007) 72, 10298–301.
-
Synthesis of the calothrixins, pentacyclic indolo[3,2-j]phenanthridine alkaloids, using a biomimetic approach. McErlean, Christopher, S. P.; Sperry, Jonathon; Blake, Alexander J.; Moody, Christopher J.Tetrahedron (2007) 63 (45), 10963–70.
-
Synthetic ansamycins prepared by a ring-expanding Claisen rearrangement. Synthesis and biological evaluation of ring and conformational analogues of the Hsp90 molecular chaperone inhibitor geldanamycin. McErlean, Christopher S. P.; Proisy, Nicolas; Davis, Christopher J.; Boland, Nicola A.; Sharp, Swee Y.; Boxall, Kathy; Slawin, Alexandra, M. Z.; Workman, Paul; Moody, Christopher J. Org. Biomol. Chem. (2007) 5 (3), 531–46.
-
A biomimetic synthesis of calothrixin B. Sperry, Jonathon; McErlean, Christopher, S. P.; Slawin, Alexandra, M. Z.; Moody, Christopher J. Tetrahedron. Lett. (2007) 48 (2), 231–34.
-
Rapid two-directional synthesis of the F-J fragment of the gambieric acids by iterative double ring-closing metathesis. Kimber, Marc C.; Robertson, Jerod; McErlean, Christopher, S. P.; Wilson, Claire; Clark, J. Stephen, Angew. Chem. Int. Ed. (2005) 44 (38), 6157-6162.
-
Spiroacetal Biosynthesis: (±)-1,7-Dioxaspiro[5.5]undecane in Bactrocera cacuminata and Bactrocera oleae (Olive Fruit Fly). Schwartz, Brett D.; McErlean, Christopher, S. P.; Flectcher, Mary T.; Mazomenos, Basilis E.; Konstantopoulou, Maria A.; Kitching, William; De Voss, James, J. Org. Lett. (2005) 7 (6), 1173-1176.
-
Insect chemistry and chirality. Hayes, Patricia Y.; Flectcher, Mary T.; Chow, Sharon; McGrath, Matthew J.; Tu, Yong, Q.; Zhang, Hesheng; Hungerford, Natasha L.; McErlean, Christopher, S. P.; Stok, Jeanette E.; Moore, Christopher J.; De Voss, James J.; Kitching, William, Chirality (2003) 15 suppl 1, S116–27.
-
Monooxygenase stereoselectivity in the biosynthesis of stereoisomeric spiroacetals in the cucmber fly, Bactrocera cucumis. McErlean CSP, Fletcher MT, Wood BJ, De Voss JJ, Kitching W, Org. Lett. (2002) 4 (16), 2775–78.
-
Sub-structure syntheses and relative stereochemistry in the bistramide (bistratene) series of marine metabolites. Gallagher PO, McErlean CSP, Jacobs MF, Watters DJ, Kitching W, Tetrahedron Lett. (2002) 43 (3), 531–35.
-
Synthesis and stereochemistry of some bicyclic gama-lactones from parasitic wasps (hymenoptera: Braconidae). Utility of hydrolytic kinetic resolution of epoxides and palladium(II)-catalysed hydroxycyclisation-carbonylation-lactonisatio of ene-diols. Paddon-Jones GC, McErlean CSP, Hayes P, Moore CJ, Konig WA, Kitching W, J. Org. Chem. (2001) 66 (22), 7487–95.
-
Synthesis and stereochemistry of insect derived spiroacetals with branched carbon skeletons. Tu YQ, Hubener A, Zhang HS, Moore CJ, Fletcher MT, Hayes P, Dettner K, Francke W, McErlean CSP, Kitching Synthesis (2000) 13, 1956-1978